Про виконання державної бюджетної програми
„Радіологічний захист населення та екологічне оздоровлення
території,
що зазнала радіоактивного забруднення” у 2016 році
Житомирській області на 2016 рік за бюджетною програмою КПКВК 2408070 „Радіологічний захист населення та
екологічне оздоровлення території, що зазнала радіоактивного забруднення” було
передбачено асигнування у сумі 724 300,0
грн., які відповідно до паспорту бюджетної програми КПКВК 2408070 були призначені:
1.На утримання Житомирського центру радіаційного контрою
та виконанню заходів по ліквідації наслідків
аварії на ЧАЕС (Центр) – 254 295,6 грн.
2. На утримання
Народницької районної спеціалізованої станції по догляду землями зони
безумовного обов’язкового відселення (Станція) – 387 000 грн.
3. На погашення кредиторської заборгованості за
виконані роботи з дозиметричної паспортизації у 2013 році - 83004,40 грн.
Виконавчий комітет Коростенської міської ради –
4389,00 грн.;
Коростенська райдержадміністрація-17558,40грн.;
Народицька райдержадміністрація – 11 880,00 грн.;
Лугинська райдержадміністрація – 14 266,00 грн.;
Овруцька райдержадміністрація – 15 597,00 грн.;
Олевська райдержадміністрація – 19314,00 грн..
На Станом 15.11.2016 в
область надійшли асигнування загальною сумою
724 300,0 грн. (100% від
річної потреби)
Станція забезпечує утримання території загальною
площею 22449,83 га, з яких
18393,3 га - сільськогосподарські землі, 1462,8 га - ліси та інші лісовкриті
площі, 539,31га - забудовані землі, 1033,13 га - відкриті заболочені землі,
494,89 га – відкриті землі без рослинного покриву, 526,4 га води, у належному санітарно-екологічному та
пожежно-безпечному стані.
У відповідності з рішенням IV сесії Народицької районної ради VІІ скликання від 25.12.2015 р. №19 та рішення
ІІ сесії Народицької селищної ради VІІ
скликання від 31.12.2015 р. №107, прийнятими відповідно положень державної
програми децентралізації, Народицька районна спеціалізована станція по догляду
за землями зони безумовного відселення стала об'єктом господарювання
комунальної власності Народицької селищної ради.
1. На виконання цих рішень дирекцією Станції
протягом січня 2016 було розроблено, підготовлено та надано відповідні
документальні матеріали про передачу у власність селищної ради всіх
матеріально-технічних засобів станції, було замовлено та виготовлено нові штамп
та печатку, розроблено та зареєстровано новий статут станції. Відповідно до
нового штату у 2016 році на Станції працювало 7 працівників.
У 2016 році
Станцією з настанням грунтово-погодних умов створено та поновлено існуючих
протипожежних мінералізованих смуг 92,4 км, а саме: навколо смт Народичі – 9,8
км, с.Лозниця – 33,7 км, с.Розсхівське -19,1 км., с.Ст.Шарно -13,6 км, с. Голубієвичі - 4,4 км, с.Ганнівка 2,3 км,
с.Северівка – 9,5 км.
Влітку та восени проведено підкошування високорослого
травостою на 51 га.

У 2016 році на
гасінні пожеж відпрацьовано 43 тракторогодини і
створено 16,2 км локалізаційних
смуг плугом 70 та 8,3 км дисковими боронами бдв3, з них у
вересні, у зв'язку вкрай сухою погодою для локалізацій пожеж було
відпрацьовано 23 тракторогодини та
залучалися сили районного сектору управління ДСНС.
Протягом звітного періоду проводився ремонт автотракторної
техніки з застосуванням слюсарно-ремонтних та електрозварювальних робіт. У жовтні
було проведено ремонт дискової борони БДВ-3,0 із частковою заміною
робочих частин. У по завершенню польових робіт проведено зварювальні і слюсарно-ремонтні роботи, роботи з консервування авто-тракторної
техніки, причіпного та навісного обладнання для встановлення на довгострокове
зимове зберігання.
Для очистки виробничої території Станції та під’їзних шляхів до неї від
снігових наносів в зимовий період, на тракторі Т-150К встановлено снігоочисну
техніку, звукову та світлову сигналізації.
Виробнича територія станції, адміністративні та складські приміщення приведені в належний
санітарний та пожежно-безпечний стан,
перебувають під цілодобовою охороною.
Проведено роботи по підготовці станції до роботи в
зимовий період. Заготовлено дрова, проведено ремонт пічного опалення, очистка
димоходів. Враховуючи, що кількість працівників станції із-за відсутності
належного фінансування скорочено до мінімуму, всі господарські роботи
виконуються виключно працівниками сторожової охорони.

Дирекція Станції постійно бере участь в
щотижневих нарадах та засіданнях, які проводить керівництво
райдержадміністрації, адміністрація Народицької селищної ради об'єднаної
територіальної громади, у планових сесіях районної, селищної та сільських рад.
Копія „Звіту про використання коштів Станцією за 2016
рік” Додаток 1.
Додаток 1

Спеціалістами Житомирського обласного центру
радіологічного контролю та виконанню заходів по ліквідації наслідків аварії на
ЧАЕС протягом 2016 року проводилася робота з організації радіологічного
контролю сільськогосподарської та лісової продукції.
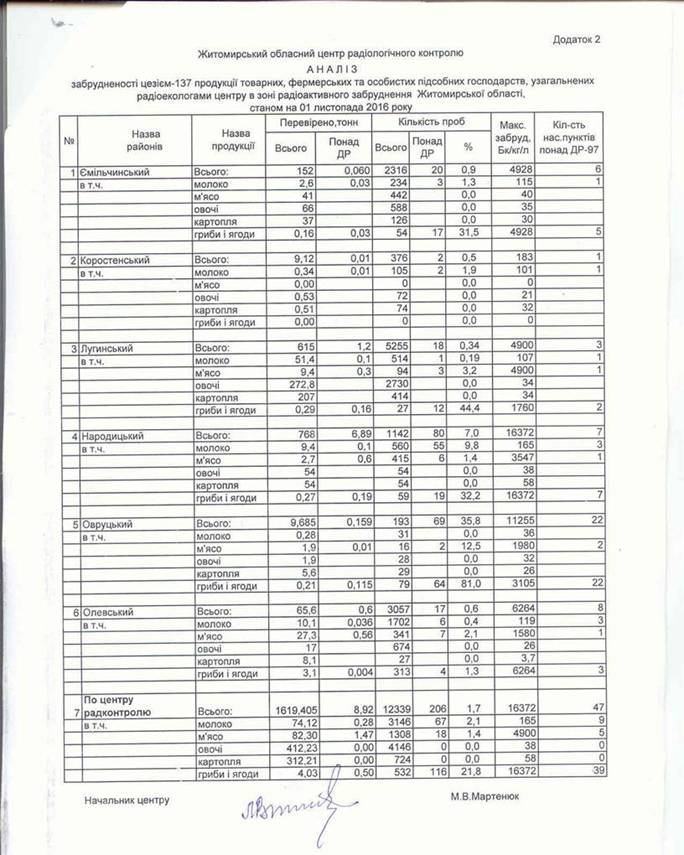
За звітний період відібрано і перевірено 14949 проб (у 131 населеному пункті), з яких 240 проб, або 1,6% мали
перевищення допустимих рівнів забруднення цезієм-137. В тому числі: молоко –
2,6%, м’ясо – 1,1%. Копія „Аналізу забрудненості цезієм-137 продукції товарних,
фермерських та особистих підсобних господарств, узагальнених радіоекологами
центру в зоні радіоактивного забруднення
Житомирської області” Додаток 2.
Перевищення виявлено в 48 населених пунктах. Копія „Переліку населених пунктів
в розрізі адміністративних районів зони радіоактивного забруднення” Додаток 3
та Додаток 4.
Протягом звітного періоду головними
радіоекологами у районах надано 3286
консультацій населенню з вирощування та споживання екологічно чистих продуктів,
зменшення дозового навантаження на організм, взято участь у 20 нарадах з підсумків роботи, 13 сесіях районних та
сільських рад, 4 депутатських комісіях, 8 сходах сіл, 1 засіданні громадської
ради, опубліковано 4 статті на Чорнобильську тематику у районних
газетах.
З 17 по 21 жовтня 4-ри головних радіоекологи
районів пройшли обов'язкове навчання та атестацію
в Українському радіологічному учбовому центрі.
У грудні 2016 року проведено повірку та ремонт
4-х радіометричних приладів.
Населення зони забруднення в
зв’язку з економічною кризою, низьким рівнем життя пасивно відносяться до радіологічного моніторингу
продукції, яку споживає. В зв’язку з цим, радіологічний контроль за продуктами
харчування носить, в основному, вибірковий характер і не завжди відображує
реальний стан радіоактивного забруднення.
Копія „Звіту про використання коштів Центром за 2016
рік” Додаток 5.
Заступник начальника
управління С.П. Сіренький
Маковійчук Г.П.
т.(0412) 22-08-24





